
产品和服务 / 产品类型 / ELISA试剂盒 / ELISA 抗体对
* This package insert must be read in its entirety before using this product.
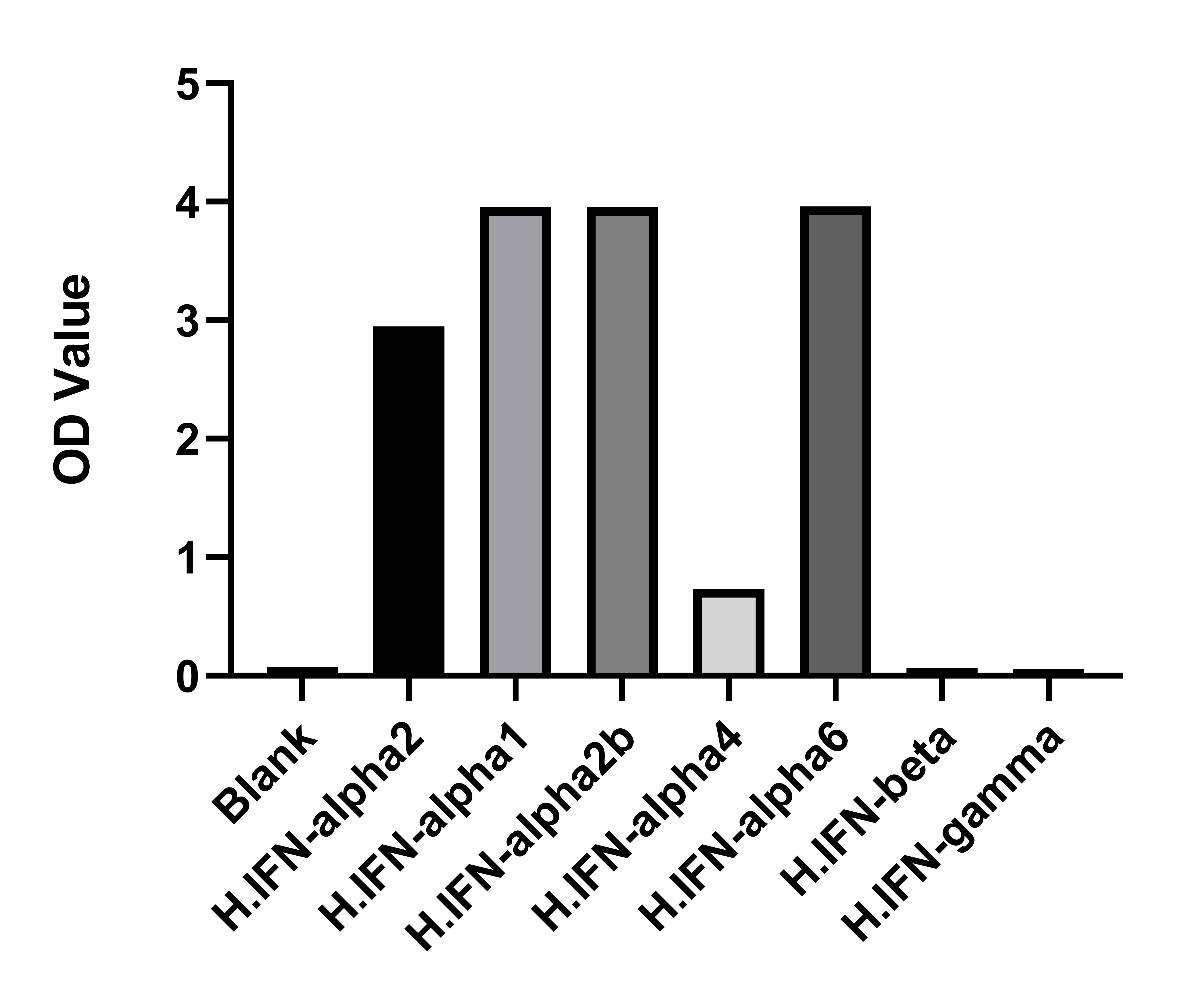
Human IFN-alpha Sandwich Immunoassay
| Recommended Concentration | Sample | ||
|---|---|---|---|
| ELISA | Capture | 1-4ug/mL | Rabbit anti-Human IFN-alpha mAb(Cat. No.RMK0518) |
| Detection | 0.033-0.133ug/mL | Rabbit anti-Human IFN-alpha mAb(Cat. No.RMK0519) | |
| Standard | 0.033-0.133ug/mL | Recombinant Human IFN-alpha Protein | |
| CLIA | Capture | 1-4ug/mL | Rabbit anti-Human IFN-alpha mAb(Cat. No.RMK0518) |
| Detection | 0.5-2ug/mL | Rabbit anti-Human IFN-alpha mAb(Cat. No.RMK0519) | |
| Standard | 2.5-2000pg/mL | Recombinant Human IFN-alpha Protein |
This gene is a member of the alpha interferon gene cluster on chromosome 9. The encoded cytokine is a member of the type I interferon family that is produced in response to viral infection as a key part of the innate immune response with potent antiviral, antiproliferative and immunomodulatory properties. This cytokine, like other type I interferons, binds a plasma membrane receptor made of IFNAR1 and IFNAR2 that is ubiquitously expressed, and thus is able to act on virtually all body cells. The encoded protein is effective in reducing the symptoms and duration of the common cold and in treating many types of cancer, including some hematological malignancies and solid tumors. A deficiency of type I interferon in the blood is thought to be a hallmark of severe COVID-19 and may provide a rationale for a combined therapeutic approach.