产品和服务 / 产品类型 / 生化试剂

LipoMAX Transfection Reagent(脂质体转染试剂) (BR09015)

货号: BR09015
促销价:   ¥1680
货    期:现货
抗体定制
服务咨询
|
扫码下单
享受积分

产品信息

产品简介
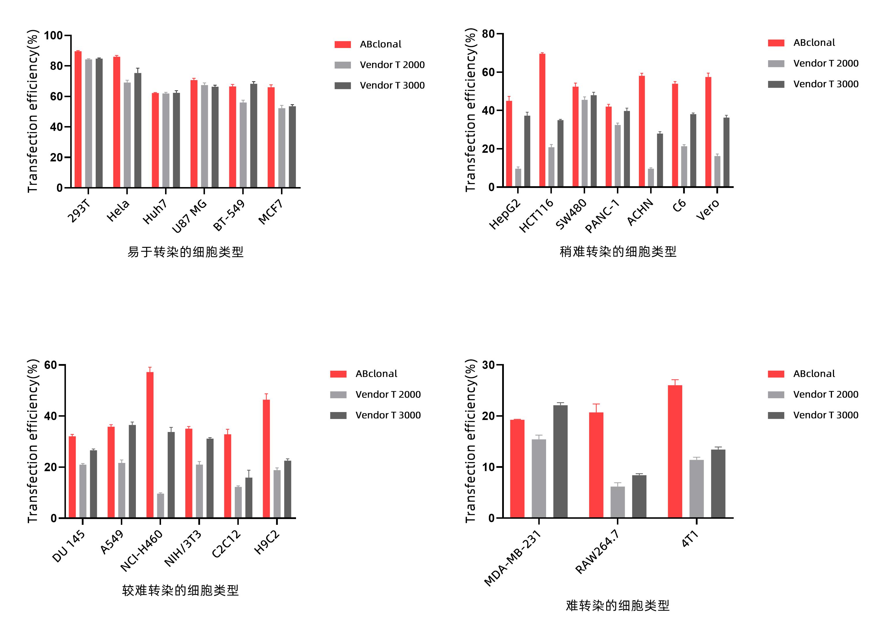
LipoMAX Transfection Reagent(脂质体转染试剂)为细胞转染试剂,以纳米脂质体包裹核酸通过特殊递送机制,把外源DNA转入细胞,对各种常见的细胞系及难转染细胞系如树突状细胞、A549、HepG2、NIH3T3等均有较好的转染效果,具有低毒高效的特点,对细胞的状态影响较小。
产品特点
低毒高效
产品应用
细胞转染
产品组成
产品编号名称规格保存条件
BR09015LipoMAX Transfection Reagent(脂质体转染试剂)1000 μL/5×1000 μL4℃

注意事项

  • 1.本产品仅限于科学实验研究使用,不得用于临床诊断、治疗等领域。
  • 2.加入配制完的转染复合物后,无需换液,24 h 或者 48 h 后可进行 DNA 表达的检测。
  • 3.质粒质量:请务必使用高质量转染级无内毒素质粒。通过 260 nm 光吸收测定 DNA 浓度,260nm / 280nm比值确定 DNA 纯度(比值应该在 1.8~2.0 的范围之内)。如有可能,请通过琼脂糖凝胶电泳检测质粒的完整性。
  • 4.细胞条件:使用适当保存和经常传代的健康细胞。确保培养基没有被细菌、真菌或支原体污染。如果细胞是近期复苏的液氮冻存细胞,请在转染前至少传代两次。
  • 5.本转染试剂需恢复至室温,涡旋、瞬离后使用。
  • 6.建议配制转染复合物最小体积 30 μL,以免吸取转染试剂量过少,影响复合效果与转染效率。

保存条件和运输

蓝冰运输。4℃保存,有效期12个月。

说明书

说明书下载