
首页 / 产品和服务 / 产品类型 / 重组蛋白 / 生物标志物 & CD分子
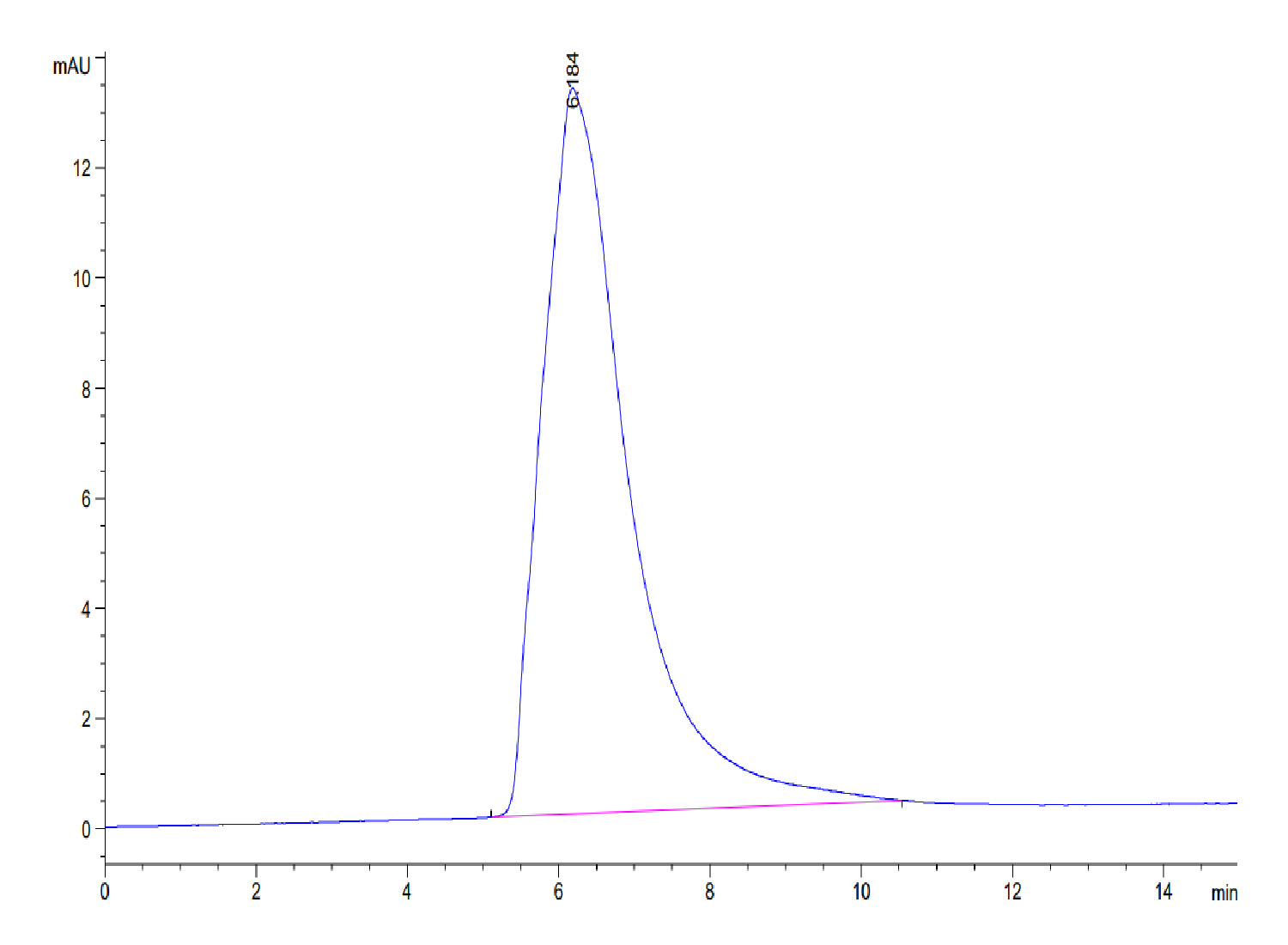
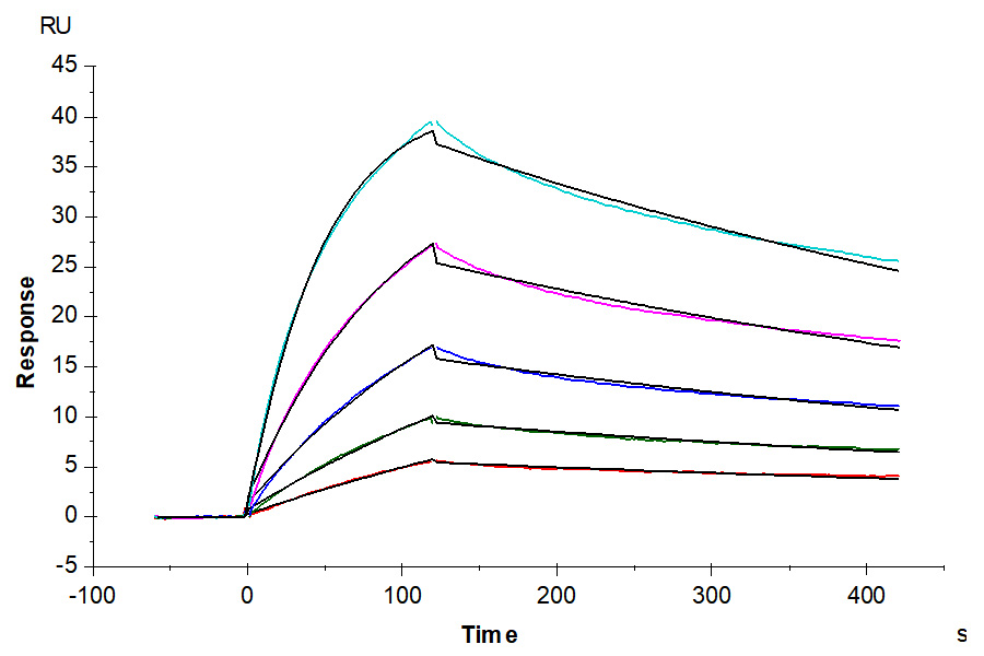
| 货号 | 靶点 | 种属 | 表达宿主 | 表达区域 | 标签 | 活性 | 纯度 |
|---|---|---|---|---|---|---|---|
| RP00346 | CD96/TACTILE | Human | HEK293 cells | Val22-Met503 | C-mFc | ![]() ![]() ![]() | |
| RP00337 | LILRB2/CD85d/ILT4 | Human | HEK293 cells | Gln22-His458 | C-mFc | ![]() ![]() ![]() ![]() | |
| RP00322 | TREM2 | Human | HEK293 cells | His19-Ser174 | C-hFc | ![]() ![]() ![]() | |
| RP00333 | Siglec-8 | Human | HEK293 cells | Met17-Ala363 | C-hFc | ![]() ![]() | |
| RP00342 | CD96/TACTILE (C110S) | Human | HEK293 cells | Val22-Met503(C110S) | C-His | ![]() ![]() ![]() | |
| RP00341 | LILRB2/CD85d/ILT4 | Human | HEK293 cells | Gln22-His458 | C-His&Avi | ![]() ![]() ![]() ![]() | |
| RP00335 | DNAM-1/CD226 | Human | HEK293 cells | Glu19-Asn247 | C-hFc | ![]() ![]() ![]() ![]() | |
| RP00347 | NKp46/NCR1/CD335 | Human | HEK293 cells | Gln22-Asn255 | C-hFc | ![]() ![]() ![]() | |
| RP00349 | NKp46/NCR1/CD335 | Human | HEK293 cells | Gln22-Asn255 | C-mFc | ![]() ![]() ![]() | |
| RP00339 | LILRB2/CD85d/ILT4 | Human | HEK293 cells | Gln22-His458 | C-hFc | ![]() ![]() ![]() ![]() ![]() | |
| RP00360 | 4-1BB Ligand/TNFSF9 Trimer | Human | HEK293 cells | Arg71-Glu254 | N-monomeric hFc | ![]() ![]() | |
| RP00363 | OX40/TNFRSF4/CD134 | Human | HEK293 cells | Leu29-Ala216 | C-His&Avi | ![]() ![]() ![]() | |
| RP00382 | Nectin-2/CD112 | Human | HEK293 cells | Gln32-Leu360 | C-hFc | ![]() ![]() ![]() | |
| RP00371 | Transferrin R/CD71 | Human | HEK293 cells | Cys89-Phe760 | C-hFc | ![]() ![]() ![]() | |
| RP00366 | TNFR2/CD120b/TNFRSF1B | Human | HEK293 cells | Leu23-Asp257 | C-mFc | ![]() ![]() ![]() ![]() ![]() |